<

تحركت سيارة كتلتها 925 شمالا بسرعة

<
تحركت سيارة كتلتها 925kg شمالا بسرعة 20 1m S فاصطدمت بسيارة كتلتها ادعمني دوت كوم

تحركت سيارة كتلتها 925kg شمالا بسرعة 20 1m S فاصطدمت بسيارة كتلتها ادعمني دوت كوم

حل المسائل التدريبية لدرس حفظ الزخم الجزء الثالث الزخم وحفظه العلم نور

حل المسائل التدريبية لدرس حفظ الزخم الجزء الثالث الزخم وحفظه العلم نور

حل المسائل التدريبية لدرس حفظ الزخم الجزء الثالث الزخم وحفظه العلم نور

حل المسائل التدريبية لدرس حفظ الزخم الجزء الثالث الزخم وحفظه العلم نور

الزخم وحفظه ص38 المصدر السعودي

الزخم وحفظه ص38 المصدر السعودي

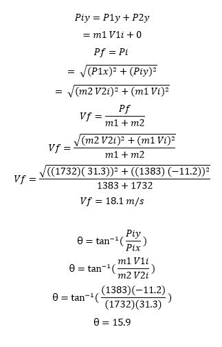
اصطدمت سيارة كتلتها 1732 Kg متحركة شرقا بسرعة 31 3 M S بسيارة أخرى كتلتها 1383 Kg متحركة جنوبا بسرعة 11 2 M S فالتحمتا معا ما مقدار سرعتهما واتجاههما مباشرة بعد التصادم Ask Fm Physicsahmedmd

اصطدمت سيارة كتلتها 1732 Kg متحركة شرقا بسرعة 31 3 M S بسيارة أخرى كتلتها 1383 Kg متحركة جنوبا بسرعة 11 2 M S فالتحمتا معا ما مقدار سرعتهما واتجاههما مباشرة بعد التصادم Ask Fm Physicsahmedmd

الزخم وحفظه ص38 المصدر السعودي

الزخم وحفظه ص38 المصدر السعودي

الزخم وحفظه ص38 المصدر السعودي

حل المسائل التدريبية لدرس حفظ الزخم الجزء الثالث الزخم وحفظه العلم نور

حل المسائل التدريبية لدرس حفظ الزخم الجزء الثالث الزخم وحفظه العلم نور

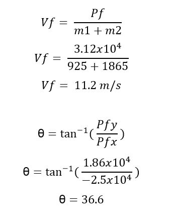
تحركت سيارة كتلتها 1923kg شمالا فاصطدمت بسيارة اخرى كتلتها 1345kg متحركة ادعمني دوت كوم

تحركت سيارة كتلتها 1923kg شمالا فاصطدمت بسيارة اخرى كتلتها 1345kg متحركة ادعمني دوت كوم

تحركت سيارة كتلتها 750 Kg بسرعة 23 M S ثم توقفت بالضغط على المكابح ادعمني دوت كوم

تحركت سيارة كتلتها 750 Kg بسرعة 23 M S ثم توقفت بالضغط على المكابح ادعمني دوت كوم

الزخم وحفظه ص38 المصدر السعودي

الزخم وحفظه ص38 المصدر السعودي

تحركت سيارة كتلتها 925kg شمالا بسرعة المكتبة التعليمية

تحركت سيارة كتلتها 925kg شمالا بسرعة المكتبة التعليمية

الزخم وحفظه ص38 المصدر السعودي

الزخم وحفظه ص38 المصدر السعودي

اصطدمت سيارة كتلتها 1732kg متحركة شرقا بسرعة 31 3m S بسيارة ادعمني دوت كوم

اصطدمت سيارة كتلتها 1732kg متحركة شرقا بسرعة 31 3m S بسيارة ادعمني دوت كوم

فيزياء Mc Graw Hillتدريبات حفظ الزخم 26 10 Youtube

فيزياء Mc Graw Hillتدريبات حفظ الزخم 26 10 Youtube

الزخم وحفظه ص38 المصدر السعودي

الزخم وحفظه ص38 المصدر السعودي

حلول الدفع والزخم الصف العاشر المتقدم فيزياء الفصل الثالث 2017 2018 المناهج الإماراتية

حلول الدفع والزخم الصف العاشر المتقدم فيزياء الفصل الثالث 2017 2018 المناهج الإماراتية

حل المسائل التدريبية لدرس حفظ الزخم الجزء الثالث الزخم وحفظه العلم نور

حل المسائل التدريبية لدرس حفظ الزخم الجزء الثالث الزخم وحفظه العلم نور

تحركت سيارة كتلتها 1500 Kg بسرعة 25 M S ثم توقفت تماما عن الحركة بعد ضغط سائقها على المكابح ادعمني دوت كوم

تحركت سيارة كتلتها 1500 Kg بسرعة 25 M S ثم توقفت تماما عن الحركة بعد ضغط سائقها على المكابح ادعمني دوت كوم

حل المسائل التدريبية لدرس حفظ الزخم الجزء الثالث الزخم وحفظه العلم نور

حل المسائل التدريبية لدرس حفظ الزخم الجزء الثالث الزخم وحفظه العلم نور

تتحرك سيارة كتلتها 875 Kg في اتجاه الجنوب بسرعة 15 M S فتصطدم بسيارة اخرى كبيرة ادعمني دوت كوم

تتحرك سيارة كتلتها 875 Kg في اتجاه الجنوب بسرعة 15 M S فتصطدم بسيارة اخرى كبيرة ادعمني دوت كوم

Source : google.com

Random Posts